Geringes Gewicht
Optimierte Verbundwerkstoffe, 60% leichter bei gleicher Leistung
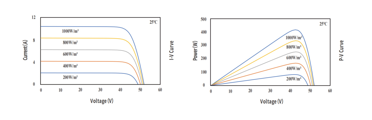
Leistungsabgabe des Moduls
Wirkungsgrad des Moduls
Produktgarantie
Lineare Leistungsgarantie
Optimierte Verbundwerkstoffe, 60% leichter bei gleicher Leistung
Flexible Verkapselung und patentierte Materialien
Ästhetisches Moduldesign, kein Blendungseffekt, „Null“ Risiko von Mikrorissen
Originelles Design senkt die Transport- und Installationskosten erheblich
Kundenspezifische Anpassung für verschiedene Szenarien, hoher Mehrwert
Hervorragende Leistung bei geringer Bestrahlungsstärke, höhere Stromerzeugung bei schwachen Lichtverhältnissen wie etwa morgens, abends und an bewölkten Tagen
| Zellentyp |
P Typ
|
| Modulgröße | 1985×1165×9mm |
| Glasdicke: | 9mm |
| Modulgewicht | 9.7Kg |
| Ausgangskabel | 4 mm², Kabellänge: 250 mm (individuell anpassbar) |
| Stecker | MC4 ähnlich |
| Anschlussdose | IP68, 2 Bypass-Dioden |
| Rahmen | Keine Rahmen |


| Max. Systemspannung | DC1500W |
| Leistungstoleranz | 0~+5W |
| Betriebstemperatur | -40℃~+85℃ |
| Max. Bemessungsstrom der Sicherung | 18A |
| Statische Last | Vorseite 5400Pa, Rückseite 2400Pa |
| Art der Verpackung |
20'GP
|
40'HQ
|
| Module/Palette | 56 | 56 |
|
Pallet/Container
|
8 | 18 |
| Module/Container | 448 | 1008 |